Daily Tips

How To Calculate Fourier Series Coefficients Example. A n and b n are called fourier coefficients and are given by example 1 find the. The square waveform and the seven term expansion.

Fourier Series Example. Three Terms Five Terms 100 Terms Real Function. - Ppt Download
Fourier Series Example. Three Terms Five Terms 100 Terms Real Function. - Ppt Download from slideplayer.com

B n = 4h nπ when n is odd. If f(t) is a periodic function of period t, then under certain conditions, its fourier series is given by: There are many ways to express a sum of sinusoids.

How To Find The Coefficients Of A Quadratic Equation. I have a pandas dataframe with two columns x and y. Quadratic equation in standard form:

Solving A Quadratic Equation Using Factoring When The Leading Coefficient Is Not 1 (Key Stage 4)
Solving A Quadratic Equation Using Factoring When The Leading Coefficient Is Not 1 (Key Stage 4) from www.mathematics-monster.com

For a quadratic equation ax 2 +bx+c = 0 (where a, b and c are coefficients), it's roots is given by following the formula. If the discriminant is greater than 0,. When the discriminant ( b2−4ac) is:

How To Find Fourier Series Coefficients In Matlab. After finding the coef's i would like to use fourier. Unfortunately, i got stuck with the calculating the fourier series coefficients using fft matlab function.

How To Reconstruct A Square Signal By Determining The Complex Fourier Coefficients And Using Those N Coefficients In Exponent... -
How To Reconstruct A Square Signal By Determining The Complex Fourier Coefficients And Using Those N Coefficients In Exponent... - from www.mathworks.com

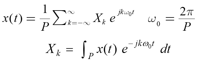
The toolbox calculates optimized start points for fourier series models, based on the current data set. I am trying to calculate in matlab the fourier series coefficients of this time signal and am having trouble on where to begin. F (t), such that f (t +p) =f (t) then, with p ω=2π, we expand f (t) as a fourier series by ( ) ( )

How To Calculate Coefficients In Linear Regression. The purpose of linear regression is to create a model to show how the dependent variable (y) relates to the independent variable (s) (x ) by a linear form of an equation. Substitute values for b (constant term).

Ever Wondered How To Calculate The Coefficients Of Simple Linear Regression? | Opening The Blackbox | By Raj Vardhan | Medium
Ever Wondered How To Calculate The Coefficients Of Simple Linear Regression? | Opening The Blackbox | By Raj Vardhan | Medium from medium.com

Then the sum of squared estimation mistakes can be expressed. The fitted line plot illustrates this by graphing the relationship between a person’s height (iv) and weight (dv). In this example, i’ll illustrate how to estimate and save the regression coefficients of a linear model in r.

How To Find The Coefficients Of A Power Series. Find the first few coefficients : Anyways, i don't understand why $c_0$ is $0$ and $c_1$ is $10/12$ see, i transformed the left side $\frac{10 x}{12 + x}$ into:

Solved] Find The First Few Coefficients In The Power Series. Find The Radius Of Convergencer Of The Series. | Course Hero
Solved] Find The First Few Coefficients In The Power Series. Find The Radius Of Convergencer Of The Series. | Course Hero from www.coursehero.com

The function f(x)=10/(1−2x)^2 is represented as a power series; The function f(x) = 4 / 1 + 16x2 is represented as a power series f(x) = sum n=0 infty cn xn (a) find the first four coefficients in the power series. Find the first few coefficients in the power series.

How To Deal With Being Emotionally Drained

How To Deal With Being Emotionally Drained . Just get a soothing massage and take your friend or partner along, too. 11.caring for another b...